[열역학 6] 엔트로피의 계산과 무효에너지
SMALL
1.엔트로피의 계산
1.1.비엔트로피 : 단위질량당의 엔트로피 ds = δq/T
1.2.일반물질의 엔트로피 (액체,고체)

1.3.이상기체의 엔트로피

2.이상기체의 상태변화에 따른 엔트로피의 계산
2.1.정적과정

2.2.정압과정

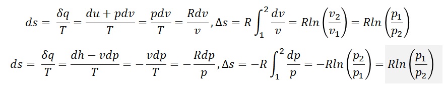
2.3.등온과정

2.4.단열과정

3.자유에너지 / 자유엔탈피 / 무효에너지
3.1.자유에너지 (헬름홀프함수)

3.2.자유엔탈피 (깁스함수)

3.3.무효에너지 : 계의 유용한 에너지로써 사용되지 못하고 계를 유지하기 위해 필요한 최소한의 에너지
1)카르노기관의 순수한 일량 W = Q1 -Q2 를 유효에너지라 한다.
2)카르노기관의 방출열량 Q2는 카르노사이클을 유지하기 위한 무효에너지라 한다.
728x90
반응형
LIST
'Aviation > Dynamics' 카테고리의 다른 글
| [열역학 8] 증기원동소 사이클 (0) | 2023.07.15 |
|---|---|
| [열역학 7] 증기와 증기선도 (0) | 2023.07.15 |
| [열역학 5] 열역학 법칙과 카르노기관 (0) | 2023.07.15 |
| [열역학 4] 이상기체의 상태변화 (0) | 2023.07.15 |
| [열역학 3] 열역학 제1법칙과 이상기체상태방정식 (0) | 2023.07.15 |